Analisi del ciclo
                                    Dati di progetto
I calcoli sono svolti a partire dai seguenti dati: 
Determinazione capisaldi e rapporto di circolazione
Si procede di seguito a esporre le modalità con la quale si determinano i capisaldi e il rapporto di circolazione di macchina. Si fa riferimento al diagramma hξ allegato per la visualizzazione dei punti trovati e alle procedure grafiche per determinarli.
Punto 2
La temperatura al punto 2 è nota, ed è pari a 35°C. La concentrazione di ammoniaca nella parte tradizionale di impianto è ξD con valore 0,99. E' conveniente avere nel punto 2 liquido sottoraffreddato. Da queste informazioni il punto 2 è facilmente individuabile sul diagramma hξ. E' necessario a questo punto scegliere un valore di pressione per il quale il punto 2 è un punto di liquido sotto raffreddato; tale pressione è la pressione di condensazione pH. Si adotta la pressione la cui relativa isobara è immediatamente al di sopra del punto 2 (15 bar).
Punto 1
Il punto 1 è individuabile sul diagramma hξ come vapore saturo alla pressione pH e concentrazione ξD . Il punto 1 si troverà sulla linea di rugiada e la temperatura in tale punto è ottenibile mediante l'utilizzo della curva ausiliaria relativa alla pressione pH.
Punto 3
La valvola di laminazione nella parte tradizionale è attraversata dalla portata mD di concentrazione ξD, laminando e portandosi dalle condizioni 2 alle condizioni 3. La laminazione vede conservarsi entalpia e concentrazione, di conseguenza il punto 3 coinciderà sul diagramma hξ con il punto 2.
Ovviamente la pressione è pL. Tale pressione è una scelta progettuale (anche se in questo caso nota): è conveniente termodinamicamente avere una pressione molto bassa, ma problemi di carattere tecnologico richiedono che questa sia superiore alla pressione atmosferica. Per tali ragioni è stata assegnata una pressione di 1,2 bar. Il titolo in questo punto è calcolato come:
Ove hLS e hVS sono rispettivamente l’entalpia di liquido e vapore saturo, che si determinano semplicemente intersecando la retta ξD con le linee di bolla e di rugiada per la pressione pL
Punto 4
Il punto 4 rappresenta le condizioni all’uscita dall’evaporatore. Essendo ξD<1 si avrà un temperature glide. Tale effetto sarà rilevante nell’ultima parte dell’evaporazione, quando l’acqua, meno volatile dell’ammoniaca, comincerà ad evaporare. L’evaporazione non può essere completa poiché la temperatura del vapore saturo alla pressione pL è maggiore della temperatura di cella. Di conseguenza l’evaporazione è fermata quando la temperatura ha raggiunto il valore di -23°C. Il punto 4 si individua intersecando l’isoterma T4, costruita con la linea ausiliaria relativa alla pressione pL con la verticale isoconcentrazione.
Allo stesso modo di quanto visto per il punto 3 il titolo si calcola come:
Punto 5
Il punto 5 identifica le condizioni della portata mR in uscita dall'assorbitore. La temperatura in tale punto è fissata (35°C) e lo stato termodinamico corrispondente è necessariamente quello di liquido sottoraffreddato, poiché la portata dovrà entrare nella pompa. La concentrazione di ammoniaca nelle è detta concentrazione della miscela ricca (ξR) ma il suo valore non è noto. Anche in questo caso il suo valore sarà una scelta progettuale, in ogni caso minore di una concentrazione limite. Tale concentrazione massima è la concentrazione corrispondente a quella a cui si ha del liquido saturo alla pressione pL (punto K sul grafico hξ). In questo caso si è assunta una ξR pari a 0,25. L'intersezione della verticale isoconcentrazione ξR e l'isoterma T5 nella zona di liquido sottoraffreddato definisce il punto 5.
Punto 6
La portata nelle condizioni 5 viene pompata fino alla pressione pH. Si può verificare che l'incremento di entalpia dovuto al lavoro di pompaggio è difatti trascurabile rispetto le entalpie in gioco e di conseguenza si assumerà un valore di entalpia costante durante il pompaggio. Ovviamente la concentrazione è la stessa di quella del punto 5, e di conseguenza il punto 6 coincide con il punto 5, e lo stato termodinamico sarà sempre di liquido sotto raffreddato essendo la pressione pH maggiore della pressione pL.
Punto 8
Le condizioni 8 caratterizzano la portata mP di liquido saturo alla pressione pH uscente dal separatore. La concentrazione di ammoniaca ξP nella portata nello stato di liquido saturo è detta povera. La temperatura nel punto 8 è assegnata pari a 160°C. Il punto 8 giacerà sulla linea di bolla in
corrispondenza dell'isoterma T8. Per tale punto passa la verticale isoconcentrazione ξP che viene quindi determinata in questo contesto, e risulta essere pari a 0,13.
Rapporto di circolazione
Dai dati fin qui ricavati è possibile determinare il fattore di circolazione. Esso è definito nel modo seguente
Dai dati fin qui ricavati è possibile determinare il fattore di circolazione. Esso è definito nel modo seguente
Tale rapporto e univocamente determinato a partire dalle concentrazioni ξR, ξP e ξD. L'espressione è la seguente:
La formula, di cui la dimostrazione è omessa, deriva dal bilancio di ammoniaca all'assorbitore.
Punto 9
Le condizioni 9 sono realizzate sottraendo nello scambiatore rigenerativo una certa potenza termica (QSR) alla portata entrante nelle condizioni 8. Se la superficie di scambio a disposizione fosse infinita la temperatura del punto 9 raggiungerebbe quella del punto 6. Nel caso reale esiste una differenza di temperatura fissata a 7°C; la temperatura nel punto 9 è 42 °C.
Chiaramente lo stato termodinamico del punto 9 è quello di liquido sottoraffreddato alla pressione pH.
Il punto 9 è individuato dall'intersezione dell'isoterma T9 e l'isoconcentrazione ξP.
Punto 10
La portata mP lamina passando dalle condizioni 9 alle condizioni 10. Come per il caso del punto 3, il punto 10 coinciderà col punto 9. La pressione passa da pH a pL. Si verifica che il punto 10 è nella zona del liquido sotto raffreddato essendo al di sotto della linea di bolla.
Punto 7
Dall'espressione del bilancio di primo principio applicato allo scambiatore rigenerativo e dalla definizione di rapporto di circolazione f, si ottiene la seguente espressione
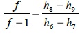
Che può essere riscritta nella forma
Tale espressione ha una valenza grafica molto importante sul diagramma hξ e ci permette di individuare il punto 7. E' necessario tracciare la retta passante per i punti 8 e 6: l'intersezione tra questa retta e la verticale isoconcentrazione ξD ci permette di individuare il punto A1 la cui importanza sarà sottolineata più avanti. Segue la tracciatura della retta passante per 9 e per 6, la quale intersecherà l'isoconcentrazione ξD nel punto A0. Si ottiene il triangolo 8A9.
L'intersezione tra la verticale ξR e il segmento 8A0 consente di individuare un punto che si denomina con Y.
Il rapporto di circolazione f è proporzionale alla differenza (ξD-ξP), e di conseguenza sul diagramma hξ il segmento rappresentante la differenza tra questi valori di concentrazione si può identificare con la lunghezza f (con un coefficiente di scala 1/(ξR-ξP)). Da ciò deriva che il segmento ξD-ξR può essere rappresentato dalla quantità (f-1), mentre ξR-ξP dal valore 1. Fissato l'angolo al vertice di un triangolo isoscele il rapporto tra la base e l'altezza costante: confondendo il triangolo 8-A-9 con un triangolo isoscele si constata che il rapporto dei segmenti (8-9)/f è pari, per la proprietà dei triangoli enunciata al rapporto (Y-6)/(1-f), e di conseguenza per l'espressione sopra riportata, il punto Y coincide con il punto 7.
Entropia
I valori di entropia sono ricavabili dal diagramma sξ. Per i punti in zona bifase è necessario tracciare le isoterme relative alle diverse pressioni. L'entropia dei punti 3, 4 e 7 si calcola a partire dal titolo termodinamico e l'entropia del vapore e del liquido saturo con concentrazione ξD.
Continua a leggere:
- Successivo: Capisaldi ricavati da diagramma
- Precedente: Ciclo ad assorbimento acqua-ammoniaca
Dettagli appunto:
- Università: Politecnico di Torino
- Facoltà: Ingegneria
- Corso: Ingegneria per l'Ambiente e il Territorio
- Esame: Tecniche del freddo e criogenia
- Docente: Silvi
Altri appunti correlati:
- Ciclo a semplice compressione di vapore di un gruppo frigorifero
- Calore e termoterapia
- I cicli criogenici
- Biologia Vegetale
- Scienze Infermieristiche
Per approfondire questo argomento, consulta le Tesi:
- Realizzazione di rivestimenti intermetallici finalizzati alla protezione di componenti impiegati alle alte temperature
- Bilancio energetico ed idrologico nello strato superficiale atmosferico durante eventi monsonici
- Studio della correlazione tra raggi cosmici ed altri parametri atmosferici mediante l’utilizzo di reti neurali
- Analisi termica di leghe di magnesio ZE41A utilizzate in ambito aeronautico
- L'analisi exergetica quale metodo di ottimizzazione di un impianto combinato: un caso studio
Puoi scaricare gratuitamente questo appunto in versione integrale.