Analisi con metodo grafico
                                    Sul diagramma T-s possono essere identificate graficamente le grandezze caratterizzanti il ciclo sia di carattere energetico che exergetico.  
Grandezze energetiche  
E’ necessario sottolineare che le regioni individuate servono a rappresentare il concetto di associabilità alle grandezze calcolate di determinate aree nel diagramma di Gibbs: le aree hanno dunque una valenza qualitativa. Infatti, affinché si possa effettuare un corretto confronto grafico è necessario estendere le ordinate allo 0 K in modo tale da poter rappresentare completamente le aree.  
Grandezze exergetiche  
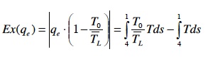
Sul diagramma T-s possiamo rappresentare l’exergia distrutta e l’exergia ottenuta nel processo di produzione di acqua refrigerata facendo uso di una isobara fittizia ottenuta dalla traslazione dell’isobara di evaporazione. Tale procedura deriva direttamente dall’espressione dell’exergia ottenuta per i sistemi a temperatura inferiore alla temperatura ambiente. 
Il primo termine a secondo membro rappresenta l’area sottesa alla linea ottenuta dallo spostamento puntuale dell’isobara lungo cui avviene l’evaporazione mediante un fattore maggiore di uno.  L’exergia distrutta nel processo (o lavoro perso) è rappresentata dalla differenza tra l’exergia spesa, che coincide con il lavoro di compressione fornito dall’esterno, e l’exergia ottenuta.
Da tali considerazioni, con riferimento ai successivi grafici, si ricava:  
Come visto, il lavoro perso nell’intero ciclo può essere visto come la somma dell’exergia distrutta presso gli i componenti. Ciò equivale a suddividere l’area dell’exergia distrutta in quattro parti. Partendo dalle espressioni dei lavori persi si ottiene: 

Continua a leggere:
- Precedente: Confronto dei risultati
Dettagli appunto:
- Università: Politecnico di Torino
- Facoltà: Ingegneria
- Corso: Ingegneria per l'Ambiente e il Territorio
- Esame: Tecniche del freddo e criogenia
- Docente: Silvi
Altri appunti correlati:
Per approfondire questo argomento, consulta le Tesi:
- Analisi teorica e sperimentale di una pompa di calore ad anidride carbonica per asciugatrici domestiche
- Sviluppo di sistemi per la localizzazione dei quench in cavità risonanti superconduttive operanti in elio superfluido
- Tecniche di caratterizzazione di microcalorimetri criogenici a transizione di fase superconduttiva per astrofisica a raggi X
- Microbolometri per la determinazione della massa del neutrino
Puoi scaricare gratuitamente questo appunto in versione integrale.