CO. IN. a costi pieni consuntivi di prodotto
Più in particolare
• Oggetto: l'unità di prodotto; quel qualcosa di cui voglio calcolare il costo, può essere il costo di una unità di distribuzione, di una fase etc. non solo nell'area produttiva ma in tutta l'area aziendale
• Elemento tempo:
- Elaborazione infrannuale
- Costo consuntivo
• Costo pieno (soprattutto per la sua rinnovata importanza); il costo pieno = costi fissi + variabili; nella CO.IN. c'è una contabilità per i fissi e una per i variabili
• Costo di produzione, prima, e poi, complessivo (esclusi gli oneri figurativi).
[guardare i costi speciali / comuni secondo il criterio tecnico-contabile]
- Costi speciali:
▪︎ È speciale il costo di quel fattore produttivo usato esclusivamente per il prodotto A (es la quota di ammortamento di un macchinario che lavora solo sul prodotto A)
▪︎ Costo di quei fattori produttivi impiegati per prodotti diversi ma per i quali è possibile calcolare oggettivamente la quantità usata per ogni prodotto (ad es la farina per un biscotto e la farina per la pizza)
- Costi comuni: i costi riferiti a fattori produttivi usati per prodotti diversi per i quali non è possibile calcolare oggettivamente la quota riferita a ciascun prodotto. Ad es la quota di ammortamento di un impianto impastatore usato sia per i biscotti sia per le pizze
• In via extracontabile e con entrambi i metodi: per processo e per commessa
Inoltre
• Ricorso ai centri di costo tranne che per alcuni costi (ad es le MP); prima i costi vengono imputati ai centri di costo poi ripartiti ai prodotti
• Ripartizione dei costi comuni in base multipla
• Conoscenza del costo di funzionamento dei vari centri
Perché non usare la base unica?
N.B. supponiamo che tutti i costi dei fattori produttivi sono imputati immediatamente ai prodotti (niente centri).
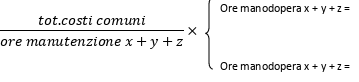
Base unica vuol dire che tutti i costi comuni vengono ripartiti sui prodotti con un'unica base (l'ammortamento o l'energia etc.)
Questa formula potrebbe andar bene solo per il costo comune di energia per forza motrice perché, ad es, per l’ammortamento no e neppure per tutti gli altri.
1° difetto: la base potrà andar bene per una o alcune voci dei costi comuni ma non per tutti.
Esempio 2
Se l’impianto A è usato solo per il prodotto X e Y e non per Z, la quota d’ammortamento è comune a X e Y ma viene imputata anche a Z.
Z viene gravato di una parte della quota d’ammortamento di un impianto che non ha mai usato.
2° difetto: il più grave; porta a far si che a certi prodotti vengono accollate quote di costo di fattori produttivi mai usati.
Continua a leggere:
- Successivo: Fasi determinazione costo della produzione
- Precedente: Contabilità sezionali (o analitiche)
Puoi scaricare gratuitamente questo appunto in versione integrale.